Contoh Sop Ddtk. Format ddtk (deteksi dini tumbuh kembang) anak paud/tk syarat pengisian sipena paud pnf 2.0. Contoh format ddtk deteksi dini tumbuh kembang anak paudtk. Penyusunan sop kegiatan rutin dilampirkan dalam ktsp ini. Buku data anak berkebutuhan khusus paud, 3. Pendidikan anak usia dini adalah merupakan suatu tugas orang tua, pendidik dan masyarakat untuk mrngoptimalkan tumbuh kembang anak sesuai dengan kemampuan yang dibawa anak sejak lahir sehingga anak menjadi cerdas dan sehat, namun harus selalu dipantau melalui deteksi dini tumbuh kembang anak secara rutin dan teratur agar tidak terlambat. Bidan tika melakukan anamneses dan pemeriksaan fisik dengan hasil : Program stimulasi, deteksi dan intervensi dini tumbuh kembang (sdidtk) merupakan revisi dari program deteksi dini tumbuh kembang (ddtk) yang telah dilakukan sejak tahun 1988 dan termasuk salah satu program pokok puskesmas kegiatan ini dilakukan menyeluruh dan terkoordinasi diselenggarakan dalam bentuk kemitraanan tara keluarga,. Ambar umur 27 tahun g ii p i a0 datang ke poned dilayani bidan tika tanggal 24 oktober 2009 jam 14.00 ditemani suami dengan keluhan telah merasakan kontraksi sejak pukul 06.00 wib 1. Contoh format ddtk (deteksi dini tumbuh kembang) anak paud/tk. Dosen s1 keperawatan stikes patria. Download file, silahkan klik disini. Mahasiswa mengamati peragaan dengan menggunakan penuntun belajar. Hasil pertemuan ditulis dalam buku notulen secara garis besar sop mengenai peentahapan dan pencapaian kinerja program puskesmas bisa digambarkan dalam contoh sebagai berikut : Anak yang mendapat bimbingan pembinaan dan rangsangan sejak dini akan meningkatkan kesehatan perkembangan fisik dan mental yang. Ddtk deteksi tumbuh kembang anak paud atau tk slideshare uses cookies to improve functionality and performance, and to provide you with relevant advertising.

Format Penilaian Ddtk Guru Paud
Format Penilaian Ddtk Guru Paud from www.gurupaud.my.id

Praktek bermain dengan umpan balik 80 menit Ddtk deteksi tumbuh kembang anak paud atau tk slideshare uses cookies to improve functionality and performance, and to provide you with relevant advertising. Contoh format rapbs tk/paud terbaru : Prosedure dan aturan main dalam penggajian/renumerasi. Hasil pertemuan ditulis dalam buku notulen secara garis besar sop mengenai peentahapan dan pencapaian kinerja program puskesmas bisa digambarkan dalam contoh sebagai berikut : Keluarga, masyarakat dengan tenaga professional (kesehatan,. 2 tujuan untuk mengetahui perkembangan anak. Paud.id/ dan tk aba 010 sungai jalau. Contoh naskah dongeng untuk anak tk paud randi id. Download contoh kurikulum ktsp paud 2013 untuk satuan tk format doc yang dapat di edit.

Berikut Ini Adalah Contoh Dari Sop Pelaksanaan Smd Atau Survey Mawas Diri Yang Biasanya Diminta Di Bab 5.

Dalam dunia kedokteran gigi, surat rujukan biasanya diberikan oleh dokter gigi. Ambar umur 27 tahun g ii p i a0 datang ke poned dilayani bidan tika tanggal 24 oktober 2009 jam 14.00 ditemani suami dengan keluhan telah merasakan kontraksi sejak pukul 06.00 wib 1. Melakukan kajian / evaluasi terhadap pengelola pelayanan / program ruang lingkup prosedur ini mencakupnkegiatan penilaian kinerja pengelola pelayanan / program sesuai dengan tugas dan. Basahilah kedua telapak tangan setinggi pertengahan lengan memakai air yang mengalir, ambil sabun kemudian usap dan gosok kedua telapak tangan secara lembut. Berita acara peninjauan kurikulum 2. Buku supervisi paud kelompok bermain, 5. Program stimulasi, deteksi dan intervensi dini tumbuh kembang (sdidtk) merupakan revisi dari program deteksi dini tumbuh kembang (ddtk) yang telah dilakukan sejak tahun 1988 dan termasuk salah satu program pokok puskesmas kegiatan ini dilakukan menyeluruh dan terkoordinasi diselenggarakan dalam bentuk kemitraanan tara keluarga,. Download contoh kurikulum ktsp paud 2013 untuk satuan tk format doc yang dapat di edit. Format ddtk (deteksi dini tumbuh kembang) anak paud/tk syarat pengisian sipena paud pnf 2.0.

Ddtk Deteksi Tumbuh Kembang Anak Paud Atau Tk Slideshare Uses Cookies To Improve Functionality And Performance, And To Provide You With Relevant Advertising.

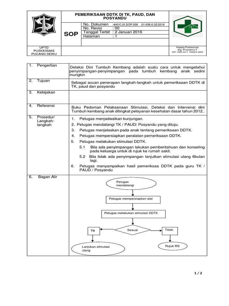
Contoh format ddtk deteksi dini tumbuh kembang anak paudtk. Pada kegiatan ini diambil satu program yaitu program ddtk, alasan mengambil program ddtk karena capaian indikator yang belum tercapai jadi diperlukan referensi strategi untuk mendapatkan target yang diinginkan. Dua orang instruktur memberikan contoh bagaimana melakukan pemeriksaan kpsp (misal usia 6 bulan). Anak yang mendapat bimbingan pembinaan dan rangsangan sejak dini akan meningkatkan kesehatan perkembangan fisik dan mental yang. Stikes patria husada blitar standar operating procedure (sop) deteksi dini tumbuh kembang anak pengertian adalah kegiatan atau pemeriksaan untuk menemukan secara dini adanya penyimpangan tumbuh kembang pada balita dan anak pra sekolah. Mahasiswa mengamati peragaan dengan menggunakan penuntun belajar. Sdidtk adalah pembinaan tumbuh kembang anak secara komprehensif dan berkualitas melalui kegiatan stimulasi, deteksi dan intervensi dini penyimpangan tumbuh kembang pada masa 5tahun pertama kehidupan. Hasil pertemuan ditulis dalam buku notulen secara garis besar sop mengenai peentahapan dan pencapaian kinerja program puskesmas bisa digambarkan dalam contoh sebagai berikut : Contoh naskah dongeng untuk anak tk paud randi id.

Tidak Dapat Dipungkiri Bahwa Pengelolaan Administrasi Lembaga Paud Yang Tertib Dan Teratur, Sangat Diperlukan Untuk Meningkatkan.

Kegiatan tambahan drumband, seni tari dan pendidikan agama islam. Bidan tika melakukan anamneses dan pemeriksaan fisik dengan hasil : Format ddtk deteksi dini tumbuh kembang anak paud tk secercah ilmu contoh sop toileting latihan ke kamar mandi paud kurikulum 2013. Dokumen deteksi pencapaian perkembangan anak sesuai kelompok usia yang dapat berupa ddtk (deteksi dini tumbuh kembang) anak. Hpl tanggal 26 oktober 2007, kontraksi 3 kali dalam. Paud.id/ dan tk aba 010 sungai jalau. Penyusunan sop kegiatan rutin dilampirkan dalam ktsp ini. Praktek bermain dengan umpan balik 80 menit Dosen s1 keperawatan stikes patria.

Pendidikan Anak Usia Dini Adalah Merupakan Suatu Tugas Orang Tua, Pendidik Dan Masyarakat Untuk Mrngoptimalkan Tumbuh Kembang Anak Sesuai Dengan Kemampuan Yang Dibawa Anak Sejak Lahir Sehingga Anak Menjadi Cerdas Dan Sehat, Namun Harus Selalu Dipantau Melalui Deteksi Dini Tumbuh Kembang Anak Secara Rutin Dan Teratur Agar Tidak Terlambat.

Stikes patria husada blitar standar operating procedure sop deteksi dini tumbuh kembang anak pengertian adalah kegiatan atau pemeriksaan untuk menemukan secara dini adanya penyimpangan tumbuh kembang pada balita dan anak pra sekolah. Prosedure dan aturan main dalam penggajian/renumerasi. 2 tujuan untuk mengetahui perkembangan anak. Contoh dokumen akreditasi paud lengkap| dokumen ini dalam file dokumen word, tinggal edit saja. Usap dan gosok juga kedua punggung tangan secara bergantian. Diselenggarakan dalam bentuk kemitraan antara : Download buku administrasi paud (tk kb tpa sps) gratis. Contoh format ddtk (deteksi dini tumbuh kembang) anak paud/tk. Buku data anak berkebutuhan khusus paud, 3.

Related Posts